Faça uma simulação com o Pravaler Icone seta

Simulado Vestibular Mackenzie: Matéria de Matemática

0%

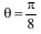
QUESTÃO 01

Na figura acima, ABC e BCD são triângulos retângulos. Se sen 2 3 θ = e AB mede 18 m, então o segmento BD mede

Matematica_question_19
Correct! Wrong!

QUESTÃO 02

O valor de m, real, para que exista o arco que satisfaz a igualdade cos x = 2m – 5 é

Correct! Wrong!

QUESTÃO 03

Se Simulado Vestibular Mackenzie: Matéria de Matemática e Simulado Vestibular Mackenzie: Matéria de Matemática então o determinante de é igual a

Matematica_question_21_4
Matematica_question_21_5
Matematica_question_21_6
Matematica_question_21_7
Matematica_question_21_8
Correct! Wrong!

QUESTÃO 04

Na figura acima, tem-se um hexágono regular de lado 4 cm, a partir do qual foi retirado um semicírculo de raio 2 cm. Nessas condições, a área da parte restante, em cm2, é igual a

Matematica_question_22
Correct! Wrong!

QUESTÃO 05

Quantos números distintos de 4 algarismos são tais que o produto de seus algarismos é igual a 420?

Correct! Wrong!

QUESTÃO 06

O conjunto solução da inequação Simulado Vestibular Mackenzie: Matéria de Matemática é

Matematica_question_24_2
Matematica_question_24_3
Matematica_question_24_4
Matematica_question_24_5
Correct! Wrong!

QUESTÃO 07

Se Simulado Vestibular Mackenzie: Matéria de Matemática então os valores de m e n são, respectivamente,

Correct! Wrong!

Simulado Vestibular Mackenzie: Matéria de Matemática
RESULTADO NEGATIVO
Você não atingiu a pontuação mínima de 61% para passar no teste.
Mas não desista! Este simulado é para te ajudar a treinar para o dia da prova real e você poderá fazer quantas tentativas quiser.

Desenvolvemos um sistema de avaliação que estabelece o mínimo de 61% de acertos como um resultado positivo e 60% um resultado negativo

Conte com o PRAVALER para te ajudar nos próximos passos.
RESULTADO POSITIVO
Parabéns! Você acertou mais de 61% das questões necessárias para ser aprovado!
Continue estudando para ter o mesmo desempenho no dia da sua prova.

Desenvolvemos um sistema de avaliação que estabelece o mínimo de 61% de acertos como um resultado positivo e 60% um resultado negativo

Conte com o PRAVALER para te ajudar nos próximos passos.

Share your Results:

Texto escrito por: Prasaber
Compartilhar
x

Estude o que sempre sonhou pagando menos por mês.

Pesquisar

Artigos Relacionados