Pravaler
Imagem do blog
Dicas de EstudoPra saber
22 de Abril, 2021Por Prasaber

Química orgânica: plano de estudos completo!

Você já deve saber que a química orgânica e os seus desdobramentos são temas recorrentes tanto no Enem quanto na maioria dos vestibulares do país. Por isso, é fundamental que esteja preparado para estudar esses assuntos e se dar bem nos exames – e é sobre isso que trataremos neste material.

Vamos juntos?!

Introdução à química orgânica

A química orgânica é a disciplina que se dedica ao estudo dos compostos de carbono, também conhecidos como compostos orgânicos, e suas características físicas, reações com outros elementos químicos, síntese e composição. O carbono está presente nos organismos vivos e, nesse sentido, se difere da área de estudo da química inorgânica, que estuda os elementos presentes no reino mineral.

História da química orgânica

Desde a antiguidade, os compostos orgânicos tinham as suas propriedades conhecidas, como o álcool obtido por meio da fermentação e alguns corantes extraídos de elementos da natureza. Esses estudos e experimentações foram evoluindo ao longo da Idade Média e tiveram o seu ápice de desenvolvimento no início da Era Moderna, quando os métodos científicos permitiram isolar e conhecer a composição desses elementos.

O objeto de estudo inicial foi formulado pelo químico sueco Tornern Olof Bergman, em 1977, que consiste na classificação da química orgânica como o estudo dos compostos extraídos dos organismos vivos. Já em 1807, Jöns Jacob Berzelius levou à frente seus estudos relativos à teoria da força vital, em que revelava a necessidade de uma força maior – a vida – para sintetizar os elementos, colocando como impossível a sua síntese artificial.

Porém, em 1828, Friedrich Wöhler, discípulo de Berzelius, conseguiu produzir ureia – um componente da urina animal – a partir do aquecimento do cianato de amônio, demonstrando a possibilidade de se sintetizar um composto orgânico a partir de um composto não-orgânico. Esse evento, chamado posteriormente de Síntese de Wöhler, acabou por derrubar a teoria da força vital.

Com o êxito deste experimento, os cientistas passaram a se dedicar a novos estudos para obter outras substâncias orgânicas – e, para isso, detectaram que o elemento fundamental era o carbono, hoje conhecido por compor milhares de elementos dessa natureza.

Após a descoberta de Whöler, a química orgânica passou por uma série de avanços e reformulações até chegar ao modelo proposto pelo químico alemão Friedrich August Kekulé, que desenvolveu o conceito de estrutura química ao sugerir que os átomos de carbono seriam tetravalentes, ou seja, poderia fazer até quatro ligações com outros átomos de carbono ou outros elementos, formando uma espécie de rede. Esse modelo, proposto em 1858 e que também foi ratificado pelo químico Archibald Scott Couper, passou a ser a definição aceita até os dias atuais.

O que a química orgânica estuda?

A química orgânica é a parte do campo do conhecimento que estuda todos os compostos que têm em sua base a estrutura de átomos de carbono e outros elementos presentes em organismos vivos, tanto do reino animal quanto do reino vegetal, como hidrogênio, oxigênio, nitrogênio, entre outros.

Quais as diferenças entre química orgânica e química inorgânica?

A separação da química orgânica da química inorgânica, sugerida por Torbern Olof Bergman, foi um dos primeiros e mais importantes marcos desse campo de estudo e da organização dos elementos químicos. Nesse modelo, os compostos estudados pela química orgânica são aqueles que estão presentes em organismos que apresentam ciclo de vida, enquanto a química inorgânica diz respeito às substâncias do reino mineral que estão presentes na crosta terrestre.

O que são compostos orgânicos?

Composição dos compostos orgânicos

Os compostos orgânicos são moléculas formadas por átomos de carbono ligados entre si e outros elementos, como oxigênio, nitrogênio, fósforo e halogênios. Sua origem pode ser natural, como por exemplo as moléculas que compõem o petróleo – um combustível de origem fóssil utilizado como fonte de energia para diversas finalidades – além de carboidratos, proteínas, lipídios, entre outros; e compostos orgânicos sintéticos, criados em laboratório, como os plásticos e medicamentos, por exemplo.

As moléculas orgânicas são formadas por um conjunto de átomos de carbono unidos por ligações covalentes e são divididas de acordo com as suas funções orgânicas, agrupando os compostos com características semelhantes. Os hidrocarbonetos, por exemplo, formado pelo grupo que contém alcanos, alcenos, alcinos e aromáticos, possui a seguinte estrutura:

composição de hidrocarbonetos

Já as funções oxigenadas, formadas pelo grupo de ácidos carboxílicos, álcoois, aldeídos, cetonas, éster e éter, contam com a estrutura seguinte:

Funções oxigenadas

Já funções hidrogenadas são compostas por amina e amida e são estruturadas desta maneira:

Funções hidrogenadas

Existem ainda os haletos orgânicos, nos quais os elementos como flúor, cloro, bromo e iodo estão inseridos na cadeia carbônica.

Características gerais das moléculas orgânicas

Essas moléculas contam com propriedades específicas, como a capacidade de se unir para formar estruturas denominadas cadeias carbônicas, em que cada átomo pode realizar até quatro ligações covalentes e formar milhões de compostos orgânicos.

Agora, vamos explicar as características gerais desses elementos. Confira!

Combustibilidade

Quase todas as substâncias que sofrem combustão possuem carbono em sua composição – e, por este motivo, são utilizadas desde os tempos antigos para gerar energia. A madeira, por exemplo, era utilizada como meio de geração de calor por meio da incineração que possibilitava a transformação da argila em cerâmica.

Polaridade

Os compostos formados apenas pelos elementos carbono e hidrogênio são, geralmente, considerados apolares por conta da baixa diferença de eletronegatividade. Caso o composto apresente outro elemento químico, como o nitrogênio, por exemplo, ele poderá apresentar polaridade.

Solubilidade

Apesar de as moléculas orgânicas apolares não serem solúveis em água, é possível realizar essa transformação em solventes orgânicos polares e apolares. Um exemplo prático é uma mancha de graxa poder ser removida utilizando-se gasolina como solvente.

Já as moléculas orgânicas polares, como açúcar (C12H22O11) e vinagre (CH3CH2OH), são solúveis em água.

Características do átomo de carbono: Postulados de Kekulé

Como você viu anteriormente, o alemão Friedrich August Kekulé foi um dos primeiros cientistas a estudar as principais características do átomo de carbono. Esses estudos foram estruturados em três postulados, os quais você verá a seguir.

1° Postulado de Kekulé: o carbono é tetravalente

O átomo de carbono possui quatro elétrons na sua última camada e conta com quatro valências livres, o que permite quatro ligações covalentes, formando moléculas. Dessa forma, o átomo fica estável.

1° postulado de Kekulé

2° Postulado de Kekulé: o carbono tem quatro valências livres

O átomo de carbono tem as quatro valências livres e a posição do heteroátomo não difere os compostos, ou seja, em qualquer posição que se encontre o átomo ligante ao carbono, o composto orgânico será sempre o mesmo.

Um exemplo dessa característica é o clorofórmio.

2° postulado de Kekulé

3° Postulado de Kekulé: o carbono forma cadeias carbônicas

Os átomos de carbono são agrupados entre si, formando estruturas de carbono, ou cadeias carbônicas. Essa propriedade permite que o elemento dê origem a uma grande variabilidade de compostos orgânicos de acordo com o número de ligações da cadeia.

3° postulado de Kekulé

Representação das cadeias carbônicas

A principal característica dos átomos de carbono é a propriedade de se unirem para formar as estruturas chamadas cadeias carbônicas. Essa capacidade de ligação permite a existência de milhões de compostos orgânicos diferentes.

Outros elementos podem apresentar ligações entre átomos também, desde que eles se localizem entre os de carbono. Nesse caso, os encadeamentos mais frequentes são oxigênio (O), nitrogênio (N), enxofre (S) e fósforo (P), que são denominados heteroátomos.

Para representar as cadeias carbônicas de forma simplificada, normalmente é utilizada a notação em bastão indicando cada ligação entre carbonos por traços (-). Cada carbono presente se transforma em um ponto de inflexão.

Representação das Cadeias Carbônicas

Classificação dos carbonos

Os carbonos são classificados de acordo com a quantidade de outros átomos ligados a ele e conforme o tipo de ligação entre eles. Vamos explicar melhor a seguir, fique com a gente!

De acordo com os átomos a ele ligados

Nesse critério, o carbono pode ser classificado em quatro grupos:

  • Carbono primário: ligado diretamente, no máximo, a um outro carbono;
  • Carbono secundário: ligado diretamente a dois outros carbonos;
  • Carbono terciário: ligado diretamente a três outros carbonos;
  • Carbono quaternário: ligado diretamente a quatro outros carbonos.

Classificação de carbonos de acordo com os átomos a ele ligados

De acordo com o tipo de ligação (sigma – σ e pi – π) e com o tipo de hibridização

A outra classificação diz respeito aos tipos de ligação que unem os carbonos, que podem ser divididos em carbono saturado e carbono insaturado.

Carbono saturado: apresenta somente ligações simples, também chamadas de sigma (σ).

carbono saturado

Carbono insaturado: conta com duplas ligações, denominações de pi (π), ou carbonos que apresentam ligação tripla.

carbono insaturado

carbono insaturado

Classificação das cadeias carbônicas

Você já sabe que os milhões de compostos orgânicos existentes contam com estruturas formadas predominantemente por átomos de carbono e que são chamadas de cadeiras carbônicas. Esses encadeamentos podem ser classificados a partir de quatro critérios principais. Olha só!

Quanto ao fechamento da cadeia

Cadeia aberta, acíclica ou alifática

As cadeias abertas, também chamadas de acíclicas ou alifáticas, têm duas ou mais extremidades e não contêm qualquer tipo encadeamento, fechamento ou anel.

cadeia aberta, acíclica ou alifática

Cadeia fechada ou acíclica

As cadeias fechadas, também chamadas de acíclicas, apresentam átomos unidos fechando a cadeia, formando um ciclo, um núcleo ou um anel.

Cadeia mista

Aqui, a cadeia possui ao menos uma parte em que os átomos não estão formando um encadeamento – ou seja, estão abertos – e a outra parte é fechada ou cíclica.

cadeia mista

Quanto à disposição

Cadeia linear, normal ou reta

Essa cadeia ocorre quando existem carbonos primários e secundários no encadeamento. Quando estão em uma única sequência, geram duas pontas ou extremidades.

cadeia linear, normal ou reta

Cadeia ramificada

Já as cadeias ramificadas possuem três ou mais pontas ou extremidades, apresentando carbonos terciários ou quaternários.

cadeia ramificada

Quanto à saturação

Saturada

Nessa classificação, entram as cadeias que possuem apenas ligações simples entre os carbonos.

cadeia saturada

Insaturada

As cadeias insaturadas possuem ao menos uma ligação dupla ou tripla entre os carbonos.

cadeia insaturada

Quanto à natureza

Homogênea

As cadeias homogêneas não apresentam qualquer tipo de heteroátomo entre os carbonos e, dessa forma, são compostas apenas pelo carbono.

cadeia homogênea

Heterogênea

Nas cadeias heterogêneas existe algum heteroátomo entre os carbonos. Em geral, os átomos presentes são o oxigênio, o nitrogênio, o fósforo e o enxofre.

cadeia heterogênea

Compostos aromáticos

Os compostos aromáticos também são chamados de arenos e são considerados hidrocarbonetos que possuem ao menos um anel benzênico – sendo também considerado uma cadeia fechada. Como possuem polaridade baixa, os arenos não são solúveis em solventes apolares, como o tetracloreto de carbono ou éter, por exemplo.

Os aromáticos estão presentes em grande quantidade na natureza e, em condições normais, podem ser encontrados na fase líquida ou gasosa. São utilizados em larga escala na indústria, tornando-se um componente fundamental na composição de inseticidas, corantes, solventes e explosivos.

Infográfico da classificação das cadeias de carbono

Introdução às funções orgânicas

Funções orgânicas

As funções orgânicas são grupos de substâncias classificados de acordo com o grupo funcional que possuem. Cada uma delas conta com características próprias de acordo com a sua função e apresenta comportamento químico similar diante de determinadas substâncias e condições semelhantes.

A seguir, vamos apresentar as principais funções orgânicas, assim como o grupo funcional que as identificam. Acompanhe!

Hidrocarbonetos

Os hidrocarbonetos são moléculas formadas apenas por carbono e hidrogênio unidos por ligação covalente do tipo simples, dupla ou tripla e apolares. Esses compostos estão bastante presentes em nosso dia a dia, como combustíveis, gás de cozinha, entre outros. Confira o TikTok do professor Gabriel Cabral sobre esse composto!

Características e nomenclatura de hidrocarbonetos alifáticos

Os hidrocarbonetos de cadeia aberta se classificam em quatro categorias:

  • Alcanos ou parafinas
  • Alquenos, alcenos ou olefinas
  • Alquinos ou Alcinos
  • Alcadienos ou dienos

Vamos falar um pouco mais sobre eles a seguir. Acompanhe!

Alcanos ou parafinas

Os alcanos ou parafinas são hidrocarbonetos alifáticos saturados, já que possuem cadeia aberta com ligações simples entre os carbonos de sua cadeia principal. São compostos pouco reativos, por isso o nome parafina (que vem do latim parum=pequena + affinis=afinidade). Apresentam a seguinte fórmula estrutural:

alcanos ou parafinas

A fórmula molecular conta com a seguinte estrutura:

C3H8 → CnH2n + 2n = número de átomos de C = 32n + 2 = número de átomos de H = 8

C4H10 → CnH2n + 2n = número de átomos de C = 42n + 2 = número de átomos de H = 10

A nomenclatura dos alcanos deve seguir a padronização de acordo com o número de carbonos, o tipo de ligação e sua função orgânica, como descrito abaixo:

Prefixo: número de átomos de carbono da cadeia principal.

  • 1 carbono = MET
  • 2 carbonos = ET
  • 3 carbonos = PROP
  • 4 carbonos = BUT
  • 5 carbonos = PENT
  • 6 carbonos = HEX
  • 7 carbonos = HEPT
  • 8 carbonos = OCT
  • 9 carbonos = NON
  • 10 carbonos = DEC
  • 11 carbonos = UNDEC
  • 12 carbonos = DODEC
  • 13 carbonos = TRIDEC
  • 14 carbonos = TETRADEC
  • 15 carbonos = PENTADEC

Infixo: tipo de ligação da cadeia principal:

  • Ligações simples = NA

Sufixo: função hidrocarboneto

  • Sufixo O

Exemplos:

CH3 – CH2 – CH3 → PROPANO

CH3 – CH2 – CH2 – CH3 → BUTANO

As propriedades físicas dos alcanos são:

  • Baixa reatividade, por conta da estabilidade entre as ligações de carbono e hidrogênio;
  • São compostos apolares, já que apresentam interação intramolecular do tipo dipolo induzido – dipolo induzido. Dessa forma, os alcanos que possuem até quatro carbonos em sua cadeia são gases em condições ambientes (de 25 °C e 1 atm); os que possuem de cinco a 17 carbonos se apresentam no estado líquido; e os restantes, no estado sólido;
  • São insolúveis em água e solúveis em solventes apolares, como o clorofórmio e o benzeno;
  • Possuem densidades menores que 1g/cm³.

Alquenos, alcenos ou olefinas

São hidrocarbonetos alifáticos insaturados, que apresentam somente uma dupla ligação entre os carbonos de sua cadeia carbônica principal. As substâncias com essa composição são oleosas – e, por esse motivo, recebem o nome de olefinas (do latim oleum = óleo + affinis = afinidade). Apresentam a seguinte fórmula estrutural:

alquenos, alcenos ou olefinas

A fórmula molecular conta com a seguinte estrutura:

C3H6 → CnH2nn = número de átomos de C = 32n = número de átomos de H = 6

C4H8 → CnH2nn = número de átomos de C = 42n = número de átomos de H = 8

Como o alceno possui mais de quatro carbonos em sua cadeia, a dupla ligação pode estar em posições diferentes em sua estrutura, gerando compostos químicos também diferentes. Dessa forma, é preciso indicar, por meio de um número, a localização da dupla ligação.

Esse número se refere à ordem numérica dos carbonos na cadeia principal, iniciando a contagem a partir da extremidade mais próxima da dupla ligação, e deve ser o menor possível antecedendo o nome do composto, separado por hífen.

cadeia atômica do biteno

O etileno e o propileno são os principais alcenos da indústria petroquímica, apresentando a nomenclatura de acordo com a padronização da IUPAC (União internacional da Química Pura e Aplicada, sigla que vem do inglês International Union of Pure na Applied Chemistry). Veja a seguir a nomenclatura do etileno e do propileno, respectivamente:

classificação das cadeias carbônicas – hidrocarbonetos alquenos

As propriedades físicas dos alcenos são:

  • Sofrem reações de adição e polimerização;
  • Têm reatividade maior que os alcanos, já que a dupla ligação pode ser quebrada mais facilmente;
  • Seu ponto de ebulição aumenta conforme o número de carbonos no encadeamento;
  • Possuem densidades menores que 1g/cm³;
  • São insolúveis em água e solúveis em solventes apolares.

Alquinos ou alcinos

Os alquinos ou alcinos são hidrocarbonetos alifáticos insaturados por uma tripla ligação (≡), caracterizados pela cadeia aberta com ligação tripla entre os carbonos, como acontece com o etino ou acetileno, um gás com pouca solubilidade em água obtido por meio da reação de carbureto (CaC2) com água, como na equação abaixo:

CaC2(s) + 2 H2O(ℓ) Ca(OH)2(aq) + HC = CH(g)

O acetileno possibilita a queima com intensa liberação de luz e calor, característica que possibilita a produção de lanternas de carbureto utilizadas por exploradores de cavernas e maçaricos de oxiacetileno.

As regras de nomenclatura, relacionadas à numeração da tripla ligação, são as mesmas utilizadas para os alcenos.

regras de nomenclatura relacionadas à numeração da tripla ligação

Os alcinos verdadeiros contam com ao menos um átomo de hidrogênio ligado diretamente a um carbono da insaturação – ou tripla ligação. Já os alcinos falsos não apresentam o átomo de hidrogênio ligado a um carbono na tripla ligação.

Percebe-se, analisando as estruturas anteriores, que, no but-1-ino e but-2-ino, a quantidade de hidrogênio no composto é sempre igual ao dobro do número de carbonos menos dois. Dessa forma, a sequência geral dos alcinos é CnH2n – 2.

Alcadienos ou dienos

Alcadienos ou dienos são os hidrocarbonetos alifáticos insaturados por duas ligações duplas (= =), que são responsáveis pela composição de polímeros que originam a borracha natural. Sua nomenclatura segue os padrões observados em outros compostos insaturados, porém, a partir de quatro carbonos no composto, é necessário indicar as insaturações por dois algarismos que precedem o nome da substância.

A fórmula geral para alcadienos é CnH2n-2, sendo a mesma para os alcinos. Por esse motivo, pode ocorrer a isomeria de função (mesma fórmula molecular para estruturas diferentes) entre os dois tipos de hidrocarbonetos.

Os alcadienos são compostos apolares, classificados de acordo com a posição das insaturações em três grupos: dienos acumulados, em que as insaturações ocorrem em carbonos vizinhos (CH2=C=CH2); dienos isolados, em que as saturações são separadas por no mínimo dois carbonos (CH2=CH-CH2-CH=CH2); e dienos conjugados, em que as saturações são interpostas por um carbono de ligação simples (CH2=CH-CH=CH2 ).

O alcadieno mais conhecido é o isopreno, encontrado em diversos compostos, como borracha de seringueira, carotenoides e óleos essenciais.

Características e nomenclatura de hidrocarbonetos cíclicos

Você já viu nesse material que os hidrocarbonetos são compostos formados apenas por átomos de carbono e hidrogênio. No caso dos hidrocarbonetos cíclicos, esses compostos são formados por cadeias fechadas, formando um ciclo.

Os cicloalcanos, também chamados de ciclanos ou cicloparafinas, são hidrocarbonetos cíclicos saturados, já que possuem apenas ligações simples. Os cicloalquenos, ou cicloalcenos, ciclenos ou cicloefinas, são considerados hidrocarbonetos cíclicos insaturados por uma dupla ligação.

A nomenclatura desses compostos segue as mesmas regras dos hidrocarbonetos de cadeias abertas, porém, o nome deve sempre iniciar pela palavra ciclo.

O número de carbonos no ciclo é identificado pelos seguintes prefixos:

  • 3 carbonos: PROP
  • 4 carbonos: BUT
  • 5 carbonos: PENT
  • 6 carbonos: HEX
  • 7 carbonos: HEPT
  • 8 carbonos: OCT
  • 9 carbonos: NON

Veja os exemplos abaixo:

exemplos de nomenclatura de hidrocarbonetos cíclicos

Veja a classificação dos hidrocarbonetos cíclicos:

Ciclanos: apresentam cadeia fechada, saturada (ligações simples entre carbonos) e podem ter ou não ramificações. Exemplo:

Ciclobutano (C4H8) = Ciclo + but (4 carbonos) + an (ligação simples) + o

Ciclenos: apresentam cadeia fechada, insaturada (uma ligação dupla entre dois dos carbonos) e podem ter ou não ramificações. Exemplo:

Ciclobuteno (C4H6) = Ciclo + but (4 carbonos) + en (1 ligação dupla) + o

Ciclinos: possuem cadeia fechadas, saturada e uma ou mais ligações triplas. Exemplo:

Ciclopentino (C5H6) = Ciclo + pent (5 carbonos) + in (1 ligação tripla) + o

Radicais

Em química orgânica, os radicais são os conjuntos de átomos ligados entre si que apresentam um ou mais elétrons livres – ou valências livres. Surgem a partir da ruptura hemolítica da ligação covalente entre carbono e hidrogênio.

Os radicais livres são, portanto, o produto da quebra das ligações em química orgânica, representados de forma genérica por R –. Veja a reação:

reação química dos radicais livres

Cisão de ligações

A ruptura das ligações entre átomos pode ocorrer de forma homogênea ou heterogênea. Vamos agora detalhar um pouco melhor como funciona cada um desses processos. Confira!

Ruptura homolítica

Nesse tipo de cisão, a molécula é separada igualmente para os radicais resultantes. Nesse tipo de cisão de ligação, não há perda nem ganho de elétrons. Nesse caso, cada átomo fica com seu elétron da ligação original e o resultado são os radicais livres, que você já viu no tópico anterior.

Ruptura heterolíticaNesse caso, a quebra da ligação é feita de maneira desigual, de forma que o par eletrônico fica apenas com um dos átomos da ligação original. Veja o exemplo:

ruptura heterolítica

Nesse caso, um dos átomos ganha elétrons, enquanto o outro perde, formando íons. Nessa cisão heterolítica do carbono e bromo, os produtos são o carbocátion e o íon brometo (ânion) – como o bromo é eletronegativo, leva o par eletrônico na separação.

Também pode ocorrer de o par de elétrons ficar com o carbono, como a quebra heterolítica entre carbono e hidrogênio, como neste exemplo:

quebra heterolítica formando um carbânion

Nesse caso, o carbono leva o par eletrônico consigo, formando um carbânion e um íon H+ (próton).

Características e nomenclatura de hidrocarbonetos ramificados

As cadeias ramificadas seguem a mesma nomenclatura proposta para uma cadeia normal, apresentando a estrutura prefixo + infixo + sufixo. Porém, nesse caso, o que muda é a necessidade de indicar a posição e o nome da ramificação, sendo posição + nome da ramificação + prefixo + infixo + sufixo. A cadeia longa deve ser considerada como a principal.

Caso exista mais de uma ramificação, as seguintes regras devem ser consideradas:

  • A cadeia com duas ou mais ramificações iguais devem ser indicadas pelos prefixos di, tri, tetra, e assim por diante.
  • As cadeias com ramificações diferentes devem ser listadas em ordem alfabética.
  • A cadeia principal dos alcinos e alcenos apresenta uma dupla e tripla ligação, respectivamente. Nesse caso, a numeração da cadeia deve iniciar da extremidade mais próxima da ligação.

Nomenclatura Cadeias Ramificadas Mobile

Compostos orgânicos oxigenados

As funções oxigenadas fazem parte dos quatro grupos funcionais dos compostos orgânicos. No grupo de oxigenados, estão os compostos formados por oxigênio, como os aldeídos, cetonas, ácidos carboxílicos, ésteres, éteres, fenóis e álcoois. Veja a seguir as características de cada um deles.

Álcoois

Os álcoois são formados por hidroxilas ligadas aos carbonos pertencentes apenas às ligações simples.

composição dos álcoois

Os álcoois podem ser primários, secundários ou terciários. Veja as suas características:

  • Primários, quando ligados a apenas um átomo de carbono;
  • Secundários, quando ligados a dois átomos de carbono;
  • Terciários, quando ligados a três átomos de carbono;

Os álcoois mais conhecidos são o etanol, presente nos combustíveis e bebidas alcoólicas, e o metanol, utilizado como solvente. Sua nomenclatura também está de acordo com a IUPAC, ou seja, são classificadas por meio dos prefixos (número de carbonos), intermédio (tipo de ligação química) e sufixo (ol).

Fenóis

Os fenóis são compostos por hidrogênio e carbono ligados a hidroxilas.

composição dos fenóis

Esses compostos, na maior parte das vezes, são corrosivos e tóxicos e podem ser dissolvidos em álcool e éter. Podem ser classificados conforme o número de hidroxilas que apresentam, da seguinte forma:

  • Monofenóis: 1 hidroxila
  • Difenóis: 2 hidroxilas
  • Trifenóis: 3 hidroxilas

Os fenóis são utilizados na fabricação de explosivos, fungicidas, creolina e bactericidas.

Ésteres

Os ésteres possuem semelhanças com os ácidos carboxílicos. A única diferença entre eles é que os ésteres possuem radical carbônico, enquanto os ácidos carboxílicos possuem hidrogênio. Podem ser dissolvidos por álcool, éter e clorofórmio.

composição dos ésteres

Uma característica do éter é sua propriedade flavorizante, característica que permite a aromatização de substâncias como doces, xaropes, sucos, sorvetes, entre outros.

A nomenclatura dos ésteres é formada da seguinte maneira:

  • O prefixo indica o número de carbonos;
  • O intermédio indica o tipo de ligação química;
  • O sufixo -oato é acrescentado, tal como o elemento “de” ;
  • Segue-se a terminação -ila.
Aldeídos

Os aldeídos são formados por compostos orgânicos alifáticos ou aromáticos e apresentam carbonila em sua composição, localizada nas pontas da estrutura molecular. Seguem a nomenclatura da IUPAC e, dessa forma, contam com sufixo -al, que indica as funções orgânicas dos aldeídos.

composição dos aldeídos

Os principais aldeídos são Etanal (Acetaldeído), Butanal (Butiraldeído), Pentanal (Valeraldeído), Fenil-Metanal (Benzaldeído), Vanilina, Metanal (Formaldeído) e Propanal (Propionaldeído).
Entre os aldeídos mais conhecidos estão desinfetantes, medicamentos, resinas, perfumes, entre outros.

Cetonas

As cetonas são formadas por carbono em uma ligação dupla do carbono com oxigênio. Podem ser simétricas, ou seja, com radicais idênticos, ou assimétricas, ou seja, com radicais diferentes. Segue a nomenclatura proposta pela IUPAC, com o sufixo -ona, que indica a função orgânica das cetonas.

São classificadas de acordo com o número de carbonilas, dessa forma:

  • Monocetonas: 1 carbonila
  • Policetonas: 2 ou mais carbonilas

As cetonas são conhecidas no cotidiano como solventes, como os utilizados para retirar esmalte das unhas.

Ácidos carboxílicos

Os ácidos carboxílicos são ácidos fracos formados por carboxila. Podem ser alifáticos, quando possuem cadeia aberta, ou aromáticos, quando existe um anel aromático na cadeia.
Os hidrocarbonetos são classificados de acordo com o número de carboxilas, sendo:

  • Monocarboxílico – 1 carboxila
  • Dicarboxílico – 2 carboxilas
  • Tricarboxílico – 3 carboxilas

A nomenclatura segue o modelo proposto pela IUPAC, de forma que o composto possui o sufixo -oico, que indica a função orgânica dos ácidos carboxílicos.

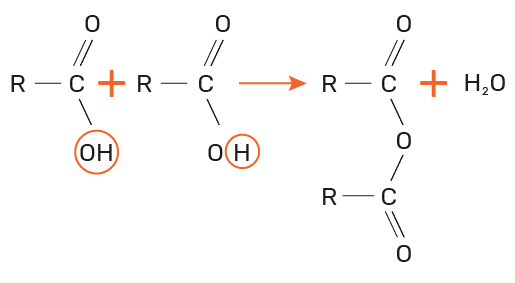
Anidridos

Os anidridos de ácidos carboxílicos são compostos orgânicos oxigenados que surgem a partir de uma reação de eliminação ou desidratação, provenientes da desidratação de dois ácidos carboxílicos. Nessa reação, os compostos perdem uma molécula de água formando o anidrido. Veja abaixo a reação química:

Reação química do anidrido

Um anidrido pode ser formado através da reação entre dois ácidos carboxílicos iguais ou diferentes. Como pode ser observado na equação acima, para que aconteça a formação do anidrido, a hidroxila de um dos ácidos carboxílicos realiza interação com o hidrogênio da hidroxila do outro ácido, resultando na formação de água. O carbono que estava na hidroxila junta-se ao oxigênio que perdeu o hidrogênio, o que forma o anidrido.

De maneira geral, o anidrido pode ser identificado por conta da estrutura do grupo funcional com três átomos de oxigênio ligados a dois carbonos. Veja a fórmula geral de um anidrido de ácido carboxílico:

fórmula geral de um anidrido de ácido carboxílico

Em relação à nomenclatura, ela dependerá dos ácidos carboxílicos que deram origem a ele. Caso seja formado pelo mesmo tipo de ácido carboxílico, a regra será anidrido + nome do ácido carboxílico. Veja alguns exemplos:

Anidrido Etanoico

Observando as partes superior e inferior do anidrido, percebe-se que ambas apresentam a mesma quantidade de carbonos, originado pelo mesmo ácido carboxílico (com sufixo -oico). Tal ácido conta com dois carbonos (prefixo -et) com ligação simples entre eles (infixo -an). Veja a fórmula:

fórmula geral de um anidrido etanoico

Anidrido Butanoico

Observando as partes superior e inferior do anidrido, percebe-se que ambas apresentam a mesma quantidade de carbonos originados do mesmo ácido carboxílico (sufixo -oico). Nesse caso, há quatro carbonos (prefixo but-) com ligações simples entre eles (infixo an). Veja a fórmula:

fórmula geral de um anidrido butanoico

Confira agora as características físicas e químicas dos anidridos:

  • São consideravelmente solúveis em água;
  • Normalmente, apresentam cheiro forte;
  • Suas moléculas fazem ligações de hidrogênio;
  • Apresentam moléculas apolares;
  • Possuem densidade menor que a água.

No cotidiano, os anidridos costumam ser aplicados na fabricação de resinas, plastificantes, corantes, além de atuarem como matéria-prima para a produção de filmes fotográficos e fibras têxteis.

Éteres

Os éteres podem ser encontrados nos estados líquido, sólido e gasoso e são altamente inflamáveis. São formados por oxigênio entre duas cadeias de carbono e podem ser simétricos, com radicais idênticos, ou assimétricos, com radicais diferentes.

composição dos éteres

Compostos orgânicos nitrogenados

As funções nitrogenadas contam com átomos de carbono, hidrogênio e nitrogênio e, em alguns casos, de oxigênio. As principais funções nitrogenadas são as aminas, amidas, nitrilas e os nitrocompostos. Continue a leitura e saiba mais sobre cada um deles.

Aminas

As aminas são compostos orgânicos que podem ser encontrados nos estados sólido, líquido e gasoso e são formadas por meio da decomposição de animais, podendo também aparecer em alguns compostos extraídos de vegetais. Veja sua fórmula geral:

fórmula geral das aminas

São derivadas da arila ou alquila quando há ligação com o nitrogênio, sendo que esses compostos substituem os átomos de hidrogênio. De acordo com essa substituição, podem ser classificadas em:

  • Primárias: quando apenas um hidrogênio é substituído (R-NH2). Exemplo: metanoamina.
  • Secundárias: quando dois hidrogênios são substituídos (R1R2NH). Exemplo: dimetanoamina.
  • Terciárias: quando três hidrogênios são substituídos (R1R2R3N). Exemplo: trimetanoamina.

Em relação à nomenclatura, as aminas são formadas substituindo o sufixo -o de hidrocarboneto para a palavra “amina”, indicando a posição do nitrogênio e indicando o tipo de ligação (an, en ou in).

Na indústria, as aminas são utilizadas na fabricação de sabões, corantes e medicamentos.

Amidas

Assim como as aminas, as amidas são compostos orgânicos que podem ser encontrados nos estados sólido ou líquido. Derivam da acila ligada ao nitrogênio e são sintetizadas em laboratório.

As amidas contam com fórmula molecular CONH2, cuja representação é:

fórmula molecular das amidas

São classificadas de acordo com o número de acilas ligadas ao nitrogênio, dessa forma:

  • Primárias, quando apresenta apenas um grupo de acila R-CO)NH2.
  • Secundárias, quando apresentam dois grupos de acila (R-CO)2NH.
  • Terciárias, quando apresentam três grupos de acila (R-CO)3N.

Em relação ao número de grupos de amida presentes no composto, podem ser classificados em diamidas, quando existem dois grupos de amidas, e triamidas, quando há três grupos de amidas, e assim por diante.

Quanto à nomenclatura, as amidas são formadas pelo prefixo que indica o número de carbonos; o sufixo -oico; e o hidrocarboneto é substituído pela palavra amida.

No cotidiano, a amida é utilizada na fabricação de produtos de higiene pessoal, como géis de banho e produtos de limpeza.

Nitrocompostos

Os nitrocompostos não são solúveis em água, já que possuem grande densidade e são bastante reativos. São encontrados nos estados sólido, líquido e gasoso e sua fórmula geral é NO2. A nomenclatura desses compostos orgânicos ocorre a partir da união do nome da cadeia principal com a palavra “nitro”.
A aplicação dos nitrocompostos na indústria é grande, sendo utilizados na fabricação de solvente, explosivos, pomadas, entre outros.

Nitrilos

Também chamados de cianetos, esses compostos são encontrados somente no estado sólido e apresentam boa solubilidade em água. Sua fórmula geral é R — C ≡ N.
Quanto à nomenclatura, deve-se unir o nome do hidrocarboneto com a palavra “nitrila”. Esses compostos orgânicos são aplicados na fabricação de borrachas, corantes, fertilizantes e plásticos.

Isonitrilos

Os isonitrilos são compostos orgânicos nitrogenados que apresentam o cianeto ligado aos radicais orgânicos, sendo muito aplicados em sínteses orgânicas. Apresentam, na fórmula geral, o grupo R – NC, sendo R qualquer radical orgânico proveniente de um hidrocarboneto. Veja a fórmula estrutural de um isonitrilo:

fórmula estrutural de um isonitrilo

A formação dos isonitrilos se dá a partir da reação entre um hidrocarboneto e o ácido isocianídrico (HNC), como representado abaixo:

reação entre um hidrocarboneto e o ácido isocianídrico

Nessa reação, o hidrocarboneto perde um átomo de hidrogênio e liga-se, então, a um grupo de isocianeto (NC-1), formando o isonitrilo e o gás hidrogênio.

Quanto à nomenclatura, a estrutura dos isonitrilos é o nome do radical + carbilamina. Nesse caso, é necessário delimitar o radical proveniente do hidrocarboneto que está ligado ao isocianeto:

etil-carbilamina

Na estrutura acima, o radical etil (H3C―CH2―) está ligado ao grupo isocianeto. Dessa forma, o nome desse isonitrilo é etil-carbilamina.

As características físicas dos isonitrilos são:

  • Menos densos que a água;
  • Possuem ponto de ebulição e fusão maiores em relação a outros compostos orgânicos;
  • Apresentam cheio bastante desagradáveis;
  • O estado físico em temperatura ambiente depende da massa molar; os que apresentam massa menor tendem a ser líquidos; com massa maior, sólidos;
  • Por conta da presença do nitrogênio, um elemento eletronegativo é uma substância polar;
  • São bastante tóxicos para o ser humano.

Os isonitrilos são bastante utilizados em sínteses orgânicas e, na indústria, são utilizadas na produção de isocianatos (na fabricação de polímeros) e na fabricação da borracha sintética.

Sais de amônio quaternário

O sal de amônio quaternário é um composto de cadeia longa formada pela presença de quatro radicais orgânicos. Trata-se de uma função orgânica nitrogenada que deriva da substituição parcial ou total dos hidrogênios no cátion amônio (NH4+) pelos radicais orgânicos. Veja abaixo:

sal de amônio quaternário

O composto é classificado como sal pois apresenta em sua constituição um ânion (X-) qualquer (com exceção do OH- ) e o cátion (composto pelos radicais). Veja sua fórmula estrutural:

fórmula estrutural do sal de amônio quaternário

Sua nomenclatura segue a seguinte estrutura:

nome do ânion + de + nome dos radicais em ordem alfabética + amônio

Como exemplo, temos o cloreto de etil-fenil-metil-vinil-amônio. Neste sal, percebemos o radical fenil (à esquerda), etil (à direita), vinil (abaixo) e metil (acima), além do ânion cloreto (Cl).

cloreto de etil-fenil-metil-vinil-amônio

As características do sal de amônio quaternário são:

  • Em temperatura ambiente, permanecem em estado sólido;
  • Não apresentam volatilidade, ou seja, não passam para o estado gasoso em temperatura ambiente;
  • Não possuem odor;
  • Apresentam sabor salgado por conta de sua natureza salina;
  • Apresentam uma parte polar e outra apolar;
  • Apresentam boa solubilidade em água e etanol, sendo insolúvel em solventes apolares.

Por serem tensoativos catiônicos, neutralizam as cargas negativas deixadas por produtos que contam com tensoativos aniônicos, como shampoos e sabão em pó. Dessa forma, os sais de amônio quaternário são utilizados na fabricação de amaciantes, condicionadores, loções, entre outros.

Compostos orgânicos sulfurados

Os compostos orgânicos sulfurados, ou tiocompostos, apresentam um ou mais átomos de enxofre ligados à cadeia carbônica. Os principais são tióis, tioalcoois e os tioéteres. Uma das principais características de compostos de enxofre é o cheiro bastante forte, lembrando ovo podre, que ocorre por conta da presença do H2S (sulfeto de hidrogênio). O enxofre pertence à mesma família do oxigênio. Dessa forma, possuem propriedades semelhantes e formam compostos semelhantes.

Entre os tiocompostos mais comuns, estão os tioálcoois (ou tióis), os tioéteres, tio ésteres, tiocetonas e tiofenóis.

Tióis ou tioálcoois

Esse grupo é semelhante ao grupo funcional dos álcoois, que apresenta o grupo OH ligado a um carbono saturado (que faz apenas ligações simples). Da mesma maneira, os tióis possuem enxofre (S) no lugar do oxigênio dos álcoois, ou seja, contam com o grupo SH ligado a um carbono saturado. Veja o exemplo:

Álcool Tiol
R — OH R — SH
Álcool Tiol
H3C — CH2 — OH H3C — CH2 — SH
Etanol Etanotiol

Em relação à nomenclatura, os tióis recebem a denominação de forma semelhante à nomenclatura dos álcoois, alterando o sufixo de -ol para -tiol. Por conta de sua capacidade reagir com o mercúrio, também são chamados de mercaptanas – do latim, mercurium captans, que significa “capturador de mercúrio”.

No cotidiano, os tióis são adicionados ao gás de cozinha (butan-1-tiol) para que possa ser identificado algum vazamento de gás por meio do cheiro, uma vez que o butano e o propano, que formam o gás de cozinha, não possuem cheiro.

Na natureza, o tiol está presente no líquido amarelo e de odor desagradável expelido pelos cangambás para se protegerem dos predadores. Nesse caso, sua denominação é 3-metilbutan-1-tiol. Outro tiol natural é o propan-1-tiol, que está presente na cebolinha, na cebola e no alho.

Ácidos sulfônicos

Os ácidos sulfônicos estão presentes no grupo sulfônico (SO3H) ligado a um carbono de uma cadeia carbônica (R). Veja sua estrutura geral:

estrutura geral do ácido sulfônico

Esse tipo de ácido é originado pela reação química entre um hidrocarboneto e o ácido sulfúrico (H2SO4).

reação química entre um hidrocarboneto e o ácido sulfúrico

Na reação de formação de um ácido sulfônico, um grupo hidroxila realiza a interação com um hidrogênio do hidrocarboneto, formando a molécula de água. O enxofre do ácido é ligado diretamente ao carbono que perdeu o hidrogênio no hidrocarboneto. Veja a equação da formação de um ácido sulfônico:

equação da formação de um ácido sulfônico

A nomenclatura desses ácidos deve seguir a seguinte estrutura:

ácido + prefixo (nº de carbonos) + infixo (tipo de ligações entre os carbonos) + sulfônico
As características físicas e químicas dos ácidos sulfônicos são:

  • São sólidos em temperatura ambiente;
  • Apresentam moléculas polares;
  • Apresentam capacidade de estabelecer ligações de hidrogênio entre si;
  • Possuem odor característico bastante desagradável;
  • Comparados a outros compostos orgânicos, apresentam pontos de fusão e ebulição elevados;
  • São altamente solúveis em água;
  • São bastante reativos com ácidos fortes.

Compostos organoclorados

Os compostos organoclorados fazem parte da função orgânica dos haletos orgânicos, que são formados pela substituição de um ou mais hidrogênios ligados ao carbono pela mesma quantidade de halogênios. Quando o cloro é o halogênio, é formado um composto organoclorado.

Sua nomenclatura deve seguir a seguinte regra: quantidade de Cl (mono, di, tri, etc) + cloro + nome do hidrocarboneto. Veja alguns exemplos:

compostos organoclorados

Na maior parte das vezes, é preciso indicar a localização do cloro, já que ele não é considerado um grupo funcional, mas um substituinte. Dessa forma, ao numerar a cadeia principal, não é obrigatório iniciar pelo mais próximo do cloro, mas sim mais próximo de uma insaturação. Caso não existam insaturações, mas sim ramificações, a regra aplicada é a dos menores números possíveis. Veja alguns exemplos:

compostos organoclorados

(Nesse caso, observe que não é o 2-cloropent-4-eno, pois a numeração da cadeia se inicia pelo mais próximo da insaturação).

compostos organoclorados

(note que não é 3-cloro-2-metilpropano por causa da regra dos menores números possíveis).

Atualmente, existem cerca de 11 mil organoclorados produzidos em indústrias e aplicados em vários segmentos, como a produção de plásticos e pesticidas, além de pastas de dente e outros produtos para higiene bucal.

Haletos de ácido ou haletos de acila

Também chamados de haletos de acila, os haletos de ácido são compostos orgânicos derivados dos ácidos carboxílicos pela substituição do oxigênio ligado através de uma ligação simples ao grupo de hidroxilias por um halogênio. Esse composto apresenta grupo funcional -cox, que consiste em um grupo carbonilo ligado ao átomo de halogênio.

Sua fórmula geral é RCOX, sendo o R um grupo alquila, por exemplo; o CO, o grupo carbonil; e X, o átomo de halogênio. Na nomenclatura, o nome do ânion corresponde ao haleto seguido da preposição de e do nome do ácido de origem com a terminação ila ou ilo.

O grupo hidroxila de um ácido sulfônico, por exemplo, pode ser substituído por um halogênio para produzir o haleto de sulfonilo. Com a adição do cloro, temos um cloreto de sulfonilo.

Organometálicos

Os organometálicos são substâncias que apresentam em sua constituição um radical orgânico (formado por carbono e hidrogênio) ligado a um metal que, por sua vez, está ligado a um halogênio. Entre os metais mais comuns que fazem parte da estrutura desses compostos estão o magnésio (Mg), o chumbo (Pb), o mercúrio (Hg) e o zinco (Zn), por exemplo.

O organometálico mais comum é o tetraetil-chumbo, adicionado à gasolina como agente antidetonante. Veja sua fórmula estrutural:

fórmula estrutural do tetraetil-chumbo

Os organometálicos mais relevantes são os chamados compostos de Grinard, já que, a partir deles, outros compostos organometálicos podem ser obtidos. Por essa razão, esses compostos são muito utilizados em laboratórios para sintetizar diversas outras substâncias orgânicas.

Compostos de Grignard

Os compostos de Grignard foram descobertos no ano de 1912 pelo químico francês Victor Grignard. São substâncias orgânicas que pertencem ao grupo dos organometálicos, apresentando um metal ligado diretamente ao carbono de um radical orgânico. O metal presente na estrutura é o magnésio, ligado, por sua vez, a um radical orgânico e a um halogênio. Veja a sua estrutura geral:

estrutura geral do composto de grignard

A nomenclatura do composto deve seguir a seguinte estrutura:

cloreto, brometo, iodeto ou fluoreto de + nome do radical + magnésio

Exemplo 1: Grignard com cloro
grignard com cloro

Nessa estrutura, o átomo de cloro (cloreto) e o radical metil (CH3) ligados ao magnésio. Dessa forma, o nome do composto é cloreto de metil-magnésio.

Exemplo 2: Grignard com bromo

grignard com bromo

Nessa estrutura, é apresentado o átomo de bromo (brometo) e o radical propil (CH3-CH2-CH2-)
ligados ao magnésio. Dessa forma, o nome do composto é brometo de propil-magnésio.

Exemplo 3: Grignard com iodo

grignard com iodo

Nessa estrutura, temos o átomo de iodo (iodeto) e o radical pentil (CH3-CH2-CH2-CH2-CH2-) ligados ao magnésio. Dessa forma, o nome do composto é iodeto de pentil-magnésio.

Veja as características físicas e químicas dos compostos de Grinard:

  • São encontrados em estado sólido em temperatura ambiente;
  • Possuem ponto de fusão e ebulição elevados;
  • São bastante reativos a água e oxigênio;
  • Apresentam ligações covalentes e ligação iônica em sua estrutura;
  • Possuem grande densidade em relação à água.

Nomenclatura IUPAC

A nomenclatura IUPAC (União internacional da Química Pura e Aplicada, do inglês International Union of Pure na Applied Chemistry) refere-se às regras para a escrita dos nomes dos compostos oficialmente aceitos. Desde 1982, a IUPAC é o órgão que regulamenta e aperfeiçoa esse processo, que envolve especialistas do mundo todo.

Atualmente, existem mais de 19 milhões de compostos que são utilizados na indústria química, com aplicações importantes no nosso dia a dia. Dessa forma, esses compostos precisam ser identificados internacionalmente, de forma que estudiosos de qualquer parte do planeta possam utilizá-los em suas pesquisas e no desenvolvimento de novas substâncias.

As regras básicas da IUPAC, que servem para a classificação da maioria dos compostos orgânicos, seguem a seguinte estrutura:

estrutura de classificação dos compostos orgânicos segundo regras da IUPAC

Note que o primeiro aspecto da fórmula é a quantidade de carbonos da cadeia. Veja o exemplo abaixo:

exemplo de nomenclatura do pentano

Nesse caso, há cinco átomos de carbono na cadeia e seu prefixo é pent-. Em relação aos tipos de ligações existentes entre os carbonos, nota-se que existem apenas ligações simples, ou saturadas. Dessa forma, o infixo é an. Por último, é determinada a função orgânica a que o composto pertence. Nesse exemplo, observamos somente átomos de carbono e hidrogênio, o que significa que o composto pertence ao grupo dos hidrocarbonetos, representado pela terminação -o.

Ao ligar essas partes, temos, portanto, o pentano.

Em alguns casos, pode acontecer de uma substância apresentar uma palavra antes do prefixo, como nos casos de compostos de cadeia fechada em que precisamos escrever, antes no nome, a palavra ciclo. Isso também acontece nos compostos do grupo dos ácidos carboxílicos, em que devemos inserir a palavra ácido. Veja o exemplo abaixo:

exemplo de nomenclatura dos compostos do grupo dos ácidos carboxílicos

Caso existam ligações duplas ou triplas (as insaturações), ou mesmo alguma ramificação (quando a estrutura apresenta mais de duas extremidades) na cadeia de carbonos, é necessário numerar os carbonos da cadeia para indicar no nome em que ponto a insaturação ou ramificação está acontecendo. A numeração deve ser iniciada no carbono da extremidade que estiver mais próxima do funcional, na ordem de importância grupo funcional > insaturação > ramificação.

Nesses exemplos abaixo, é possível observar que as ramificações são escritas primeiro e, caso existam duas ramificações, devem ser escritas em ordem alfabética e desconsiderando os prefixos di, tri, etc. Os números de carbono nas insaturações devem considerar os menores números possíveis.

exemplo de escrita das ramificações dos compostos orgânicos

Isomeria

Isomeria é o fenômeno que ocorre quando dois ou mais compostos apresentam a mesma fórmula molecular e fórmulas estruturais diferentes, sendo chamados de isômeros (iso=igual; meros=partes). Nesse tópico, vamos abordar dois casos de isomeria: a isomeria plana e a isomeria espacial.

Continue acompanhando!

Isomeria plana

Os isômeros planos são aqueles que se diferem pelas fórmulas estruturais planas. Vamos abordar agora os tipos de isômeros planos.

Isomeria de cadeia

Nesse tipo de isomeria, os isômeros pertencem a uma mesma função química com cadeias carbônicas diferentes.

estrutura molecular do butano

Estrutura molecular do butano C4H10

estrutura molecular do metilpropano

Estrutura molecular do metilpropano C4H10

Isomeria de função

Esse tipo de isomeria ocorre quando dois ou mais compostos contam com funções químicas diferentes e a mesma molecular. Os exemplos mais comuns de isomeria de função são os aldeídos e as cetonas.

aldeído propanal

Isomeria de posição

A isomeria de posição acontece quando os compostos são diferenciados pelas diferentes posições de insaturação, ramificação ou grupo funcional na cadeia carbônica. Nesse tipo de isomeria, os isômeros contam com a mesma função química. Veja os exemplos:
isomeria de posição

Isomeria de compensação

A isomeria de compensação, também chamada de metameria, ocorre em compostos com função química equivalente, diferenciando-se pela posição dos heteroátomos. Exemplos:

isomeria de compensação

Tautomeria

A tautomeria, ou isomeria dinâmica, ocorre quando um isômero se transforma em outro pela mudança de posição de um elemento na cadeia. É um tipo específico de isomeria de função. Veja o exemplo:

estrutura molecular do etanal

Isomeria espacial

A isomeria espacial também possui a denominação estereoisomeria e ocorre quando dois compostos apresentam a mesma fórmula molecular e fórmulas estruturais diferentes. Em isomerias dessa natureza, os átomos estão distribuídos da mesma forma, porém ocupam posições diferentes no espaço.

Na isomeria espacial encontramos dois subgrupos: isomeria geométrica e isomeria óptica.

Isomeria geométrica

A isomeria geométrica também é chamada de cis-trans e ocorre em cadeias abertas insaturadas, assim como em compostos cíclicos. Para que a reação ocorra, os carbonos devem ser diferentes.

Quando os mesmos ligantes de carbonos encontram-se do mesmo lado, o isômero recebe a nomenclatura com prefixo cis. Veja abaixo a forma molecular do cis-dicloroeteno C2H2Cl2

forma molecular do cis-dicloroeteno

Quando os ligantes apresentam-se em lados opostos, a nomenclatura recebe o prefixo trans. Abaixo, a forma molecular do trans-dicloroeteno C2H2Cl2.

forma molecular do trans-dicloroeteno

Em relação à nomenclatura, a recomendação da IUPAC é que sejam utilizados Z e E como prefixo, em vez dos termos cis e trans. A letra Z vem da palavra alemã zusammen, que significa “juntos”. Já a letra E vem de entegegen, que significa “opostos”.

Isomeria óptica

A isomeria óptica ocorre por meio de compostos opticamente ativos. Esse fenômeno acontece quando uma substância é afetada pelo desvio angular no plano de luz polarizada. Quando uma substância desvia sua luz óptica para a direita, denomina-se dextrogira. Quando desvia para a esquerda, é denominada levogira.

Pode ocorrer, ainda, duas formas que são opticamente ativas nas formas dextogira e levogira. Nesse caso, é chamada de enantiômero.

isometria óptica

Caso um composto apresente as formas dextrogira e levogira em partes iguais, recebe o nome de misturas racêmicas, que conta com atividade óptica inativa.

Reações orgânicas

As reações que acontecem entre os compostos orgânicos são chamadas de reações orgânicas. Existem diversos tipos de reações, que podem ocorrer por meio da quebra de moléculas e que originam novas ligações. Os principais tipos de reações orgânicas são: adição, substituição, eliminação e oxidação.

Veja também: Plano de estudos de Química, estude para Enem e vestibulares

Essas reações são bastante comuns na indústria química, já que é a partir delas que podem ser produzidos cosméticos, plásticos, medicamentos, entre outros.

Reações de substituição

As reações de substituição são os processos em que uma substância orgânica é colocada em um mesmo espaço – ou recipiente – que uma substância inorgânica, resultando em compostos orgânicos e inorgânicos.

As substâncias orgânicas utilizadas nas reações de substituição são os benzenos, alcanos, haletos orgânicos, enquanto os compostos inorgânicos mais utilizados são o ácido sulfúrico, ácido nítrico e substâncias simples halogenadas.

Veja uma equação de reação de substituição:

equação de reação de substituição

Algumas reações de substituição ocorrem quando ambos os reagentes são orgânicos, utilizando, geralmente, um haleto orgânico ou um cloreto de ácido. O princípio básico desse tipo de reação é a troca mútua de um componente entre os reagentes, envolvendo três etapas.

  • 1ª – Quebra da ligação existente entre halogêneos, entre nitrogênio e hidroxila (no HNO3), entre oxigênio e hidroxila (no H2SO4), entre carbono e halogêneo (no haleto orgânico), entre hidrogênio e hidroxila (no H2O).
  • 2ª – Quebra da ligação entre carbono e hidrogênio (no alcano ou no benzeno).
  • 3ª – Formação de novas ligações entre átomos ou grupos que foram inicialmente separados.
Halogenação

Na halogenação, o alcano (R-CH3), por exemplo, reage com uma substância simples halogenada (Cl2), formando um haleto orgânico e hidrácido halogenado (HCl).

Esses produtos são formados a partir da saída de um hidrogênio alcano e de um átomo de halogênio da substância simples halogenada. Veja a reação:

haleto orgânico e hidrácido halogenado

Nessa reação, que deve acontecer na presença da luz, o hidrogênio interage com o átomo de halogênio, formando o hidrácido halogenado. O átomo de hidrogênio restante liga-se ao alcano, formando um haleto orgânico.

Nitração

A nitração é uma reação de substituição em que um alcano, por exemplo, (R-CH3) reage com HNO3 (ou HO-NO2), formando nitrocomposto (R-CH2-NO2) e água (H-OH). Os produtos resultantes ocorrem por conta da saída de um nitrogênio do alcano e de um grupo hidroxila (OH) do ácido nítrico. Veja a reação:

produto da reação de nitração

Nesse caso, o hidrogênio realiza interação com a hidroxila que forma a água, enquanto o restante do grupo nitro (NO2) liga-se ao alcano, formando um nitrocomposto.

Sulfonação

Na sulfonação, a reação ocorre entre um hidrocarboneto com ácido sulfúrico (H2SO4). Veja este exemplo:

reação de sulfonação

Reações características de aromáticos

Os compostos aromáticos também podem sofrer reações, como a alquilação ou acilação – ambas são denominadas reações de Friedel-Crafts. Entenda como essas reações funcionam.

Acilação

Acilação é a reação em que os hidrogênios de um anel aromático são substituídos por um ou mais grupos derivados de ácidos carboxílicos.

metil fenil cetona

Nesse caso, a reação do haleto de ácido (derivado de ácido carboxílico) com o benzeno, juntamente do AlCl3 (Cloreto de Alumínio), dá origem ao metil fenil cetona.

Alquilação

As reações de alquilação formam o alquibenzeno, compostos cuja estrutura apresentem o benzeno em um grupo de substituição. Normalmente, ocorrem entre os compostos aromáticos e haletos orgânicos (R─ X).
Nesse tipo de reação, um ou mais átomos de hidrogênio presentes no anel aromático é substituído por um radical alquila (R─). Confira a fórmula geral dessa reação:

fórmula geral da reação de alquilação

Nesse caso, a presença do cloreto de alumínio anidro funciona como catalizador. Para essa função, pode-se utilizar também o cloreto de ferro FeCl3.

Reações de adição

Nas reações de adição, são adicionados átomos ou agregados atômicos a uma molécula insaturada dos tipos alceno, alcino, alcadieno e aromático ou ciclano, perdendo ou diminuindo suas insaturações.

Para que essa reação ocorra, é necessário que a molécula apresente ao menos uma insaturação, ou uma ligação π (pi), que será rompida para que entrem os compostos a serem adicionados. Para cada quebra de uma ligação π, acontece uma ligação σ (sigma).

Hidrogenação catalítica

A hidrogenação catalítica, também chamada de Sabatier-Senderens, acontece em alcenos e alcinos e ocorre quando o hidrogênio é adicionado com a ajuda de um catalisador, que pode ser o metal níquel (Ni) ou platina (Pt).
Esse processo é muito comum na indústria alimentícia, funcionando como base para a produção de margarinas a partir dos óleos vegetais.

Halogenação

A halogenação ocorre quando as substâncias simples dos halogênios (F2, Cl2, Br2 e I2) são adicionadas à cadeia carbônica em novas ligações. Nesse processo, são produzidos os di-halogenetos vicinais, que são moléculas que possuem dois halogênios em átomos de carbono vizinhos.

A halogenação pode ser utilizada para verificar se uma cadeia alifática é insaturada. Para isso, é aplicada água ou bromo em tetracloreto de carbono. Caso exista duplas ou triplas ligações, o bromo reagirá e a cor irá mudar para uma coloração acastanhada para incolor.

Adição de HX

Essa reação ocorre quando adicionamos HX aos alcenos – o X, nesse caso, é o halogênio.
Veja esses exemplos:

reação do halogênio

Em alguns casos, dois produtos são obtidos na reação, seguindo a Regra de Markovnikov (“nas reações de adição, o hidrogênio é adicionado ao carbono mais hidrogenado da ligação dupla”).

Regra de Markovnikov

No entanto, é preciso considerar que há a presença de peróxido, já que, nesse caso, é usada a regra Anti-Markovnikov, que é o inverso da Markovnikov.

Veja um exemplo com a adição de brometo de hidrogênio:

Regra de Anti-Markovnikov

Reações de hidratação de alquenos e alquinos

Nessa reação, também chamada de hidratação de alceno, ocorre processo semelhante à reação de adição de HX. Nesse caso, a reação é catalisada pelo ácido e segue a regra de Markovnikov, de forma que o hidrogênio entra no carbono mais hidrogenado e a hidroxila no carbono menos hidrogenado. Como resultado, temos o álcool primário e secundário, como é possível ver no esquema abaixo:

Reações de hidratação de alquenos e alquinos

Adição em aromáticos

A adição em aromáticos ocorre quando há a hidrogenação total do anel benzênico. No exemplo, é possível observar o hidrogênio sendo adicionado ao benzeno, formando um hidrocarboneto cíclico, o ciclo-hexeno.

ciclo-hexeno

Trata-se de uma reação complexa, que só é possível se for utilizado um metal, que pode ser níquel (Ni) ou platina (Pt), à temperatura de 300º e pressão de 200 atm.

Reações de oxidação de alquenos

As reações de oxidação são processos que ocorrem com os hidrocarbonetos – mais especificamente os alquenos –, de quatro diferentes maneiras: combustão, ozonólise, oxidação branda e oxidação energética.

Em todos esses casos, o processo comum é a perda de elétrons por um reagente (oxidação) de forma simultânea ao ganho de elétrons por outra espécie (redução). Dessa forma, é preciso que exista um agente de oxidação, o oxigênio, e um agente redutor, que são os átomos de carbono envolvidos na reação.

Entenda como essas reações ocorrem em cada tipo de oxidação.

Combustão

No processo de combustão, o oxigênio é chamado de comburente e o alceno é o combustível. Nessa reação existe a combustão completa, ou total, em que os produtos serão o dióxido de carbono (CO2) e água (H2O). O Nox do carbono será +4 no dióxido de carbono, o máximo possível para esse elemento; e a combustão incompleta, em que o oxigênio disponível não é insuficiente, formando, portanto, o monóxido de carbono (CO) e água (H2O).

Oxidação branda

A oxidação branca ocorre a partir do reativo de Bayer, uma solução aquosa de permanganato de potássio diluída, levemente básica e neutra, que se decompõe originando o oxigênio atômico. Essa substância será o agente oxidante, desfazendo a ligação pi da dupla ligação do alceno e fazendo a ligação com os carbonos. O produto da reação será um diálcool (glicol ou diol).

Ozonólise

Nessa reação, o agente oxidante utilizado para romper a dupla ligação do alceno é o ozônio (O3). Quando essa ligação é quebrada, os carbonos se ligam aos oxigênios do ozônio, resultando no ozoneto, também chamado de ozonídeo, uma substância explosiva.

Por sua vez, o ozonídeo, por meio de um agente redutor como o zinco, reage com a água, dando origem aos aldeídos e cetonas. Veja a fórmula geral da reação:

reação do ozonídeo

Oxidação energética

Nesse tipo de oxidação, ao contrário da oxidação branda, o permanganato de potássio está em meio ácido e quente. Dessa forma, sua decomposição se processa de modo mais energético para originar o oxigênio atômico.

A oxidação do alceno, consequentemente, também é mais energética, já que as duas ligações são rompidas e os átomos de hidrogênio se ligam ao carbono. Dessa reação, podem surgir três tipos de produtos:

  • Caso o carbono seja primário, o produto será ácido carbônico, que se decompõe como dióxido de carbono e água;
  • Caso o carbono da dupla seja secundário, o produto será ácido carboxílico;
  • Caso o carbono seja terciário, o produto será cetona.

Reações orgânicas de outras funções

Além das reações que você observou nos tópicos anteriores, existem outros processos que podem aparecer nos vestibulares. Veja agora quais são eles!

Reações com álcoois

Os álcoois podem sofrer reação de oxidação quando são expostos a algum agente oxidante, como o permanganato de potássio em meio ácido. O oxigênio resultante irá afetar o carbono do grupo funcional do álcool, formando um composto bastante instável – também chamado de diol gêmino, com duas hidroxilas ligadas ao mesmo carbono. Por conta dessa instabilidade, o composto libera água e dá origem a um novo produto, que dependerá diretamente do tipo de álcool que foi oxidado.

Veja a tabela a seguir:

produtos da oxidação de álcoois
Metanol

O metanol (H3C─ OH) é o único álcool que apresenta três hidrogênios em ligação com o carbono que sofrerá a oxidação. Nesse caso, há três pontos na molécula que um oxigênio nascente pode atacar e em cada uma delas ocorrerá três oxidações sucessivas.

Alcoóis primários

Nesse tipo de composto, o carbono da hidroxila se liga apenas a um átomo de carbono – dois outros ligantes são hidrogênios, com dois lugares para o oxigênio resultante. O primeiro produto é o aldeído, como na representação a seguir:

álcoois primários

Porém, o processo de oxidação continua, já que os agentes utilizados na oxidação do álcool são mais fortes do que aqueles utilizados para oxidar um aldeído. Nesse caso, outro oxigênio nascente ataca o carbono da carbonila e dá origem a um ácido carboxílico. Veja este exemplo da oxidação do etanol em etanal, posteriormente, em ácido etanoico (ou ácido acético). Essa reação se refere à transformação do vinho em vinagre.

ácido etanoico

Alcoóis secundários

Nesses compostos, o carbono da hidroxila está ligado a dois átomos de carbono e um átomo de hidrogênio. Nesse caso, haverá apenas uma localização na molécula em que o oxigênio resultante poderá atacar e será formado apenas por uma cetona.

álcoois secundários

Considerando que o carbono da carbonila da cetona não apresenta nenhum hidrogênio ligado a ele diretamente, a oxidação não poderá continuar e a reação é finalizada na cetona.

Alcoóis terciários

Nesses álcoois, o carbono que possui o grupo OH realiza três ligações com outros átomos de carbono. Como não existem ligações com hidrogênios, nenhum ponto da molécula poderá ser afetado por um novo oxigênio. Por esse motivo, os álcoois terciários não sofrem processo de oxidação.

Reações com aldeídos e cetonas

O aldeído é o composto orgânico que apresenta o grupo carbonila ligado a um hidrogênio, com seu grupo funcional sempre na extremidade de uma cadeia carbônica. Sua representação é:

representação do aldeído

As cetonas, por sua vez, são os compostos orgânicos que apresentam o grupo carbonila entre dois carbonos da sequência. Dessa forma, o grupo funcional nunca aparece na extremidade de uma cadeia carbônica. Sua representação é:

representação da cetona

Na exposição desses compostos a agentes oxidantes, apenas os aldeídos sofrem reação, já que o carbono ligado ao hidrogênio na carbonila ganha caráter positivo considerando a eletronegatividade do oxigênio, atraindo os elétrons da ligação química.

eletronegatividade do oxigênio

Dessa forma, o oxigênio nascente que estiver no meio da cadeia ataca esse carbono, posicionando-se entre a ligação carbono-hidrogênio. Nos aldeídos, é formado um composto do grupo dos ácidos carboxílicos. Nas cetonas, não há reação, já que o carbono da carbonila não possui ligação com o hidrogênio.

diferença entre aldeído e cetona

Essa reação é bastante utilizada em laboratórios para identificar se o composto se trata de um aldeído ou uma cetona.

Reações com ácidos carboxílicos

Nas reações de redução de ácidos carboxílicos, as substâncias oxigenadas ou nitrogenadas são submetidas a um processo de ataque de hidrogênios atômicos (ou nascentes). Nesse caso, o catalisador é o níquel metálico. Veja a representação geral de uma reação de redução em ácidos carboxílicos:

reação de redução em ácidos carboxílicos

Nesse processo, os produtos da reação são as moléculas de água, os dialcoóis, o aldeído e o álcool.

A formação dos hidrogênios nascentes ocorre quando o gás hidrogênio (H2) é colocado em um meio que apresenta níquel metálico (Ni(s)). Entre os dois átomos que formam o gás hidrogênio, há uma ligação do tipo sigma Σ, que se rompe pela ação do níquel metálico e resulta no hidrogênio nascente.

Reações dos ésteres

As reações dos ésteres, ou reações de esterificação, acontecem quando um ácido carboxílico reage com um álcool, produzindo éster e água. Se realizada em um ambiente fechado, a reação inversa pode ocorrer, ou seja, o éster reage com a água e regenera o ácido carboxílico e o álcool, chegando no equilíbrio químico. A essa reação inversa é dado o nome de hidrólise.

Observe este exemplo:

reações dos ésteres

Caso a hidrólise aconteça em meio básico, o que ocorre é uma hidrólise básica, também chamada de reações de saponificação, em que há a formação de um sal orgânico com um álcool. Dessa forma, o sabão é um sal orgânico fruto dessa reação.

Quando a esterificação ocorrer entre um ácido carboxílico e um álcool primário, a água, produto dessa reação, será formada pela hidroxila (OH) do ácido carboxílico e pelo hidrogênio da hidroxila do álcool.

Se ocorrer em um álcool secundário ou terciário, ou mesmo com um ácido inorgânico no lugar do ácido carboxílico, a reação contrária ocorrerá e a água será formada pela hidroxila (OH) do álcool e o hidrogênio virá da hidroxila do ácido carboxílico.

As reações de esterificação diretas (acido carboxílico + álcool) são comumente utilizadas pelas indústrias alimentícias, já que os ésteres dão origem a aromatizantes aplicados na produção de doces e sorvetes.

Algumas reações de esterificação podem formar triésteres ou triglicerídeos, principais elementos dos óleos e gorduras animais e vegetais, que são moléculas que apresentam três grupos funcionais dos ésteres em sua estrutura.

Nesse caso, é necessária a reação de três moléculas de ácidos graxos (que são os ácidos carboxílicos de cadeia longa com 11 átomos de carbono) com a glicerina, um poliálcool. Veja a representação da formação de um triglicerídeo:

formação de um triglicerídeo

Caso as reações com os ésteres envolverem ácidos inorgânicos, o produto desse processo será os ésteres inorgânicos.

Reações de aminas

As aminas são compostos orgânicos derivados da amônia, obtida por meio da troca de um, dois ou três hidrogênios por outros substituintes orgânicos. Apresentam grande aplicabilidade na síntese de muitas substâncias, além de serem utilizadas na fabricação de corantes, agentes farmacêuticos, produtos têxteis e explosivos.

Na natureza, as aminas podem ser encontradas em alguns compostos presentes em vegetais, como os alcaloides, e na decomposição de peixes e cadáveres.

As aminas podem ser produzidas em laboratório por três métodos:

    • Reações de haletos orgânicos (RX) com amônia (NH3)

Nesse método são produzidas as aminas primárias, com apenas um hidrogênio substituído. Veja este exemplo:
haletos orgânicos com amônia
Caso a amina continue a reação com o haleto orgânico, é possível obter aminas secundárias e terciárias.

    • Redução de nitrocompostos

Nessa reação, os nitrocompostos sofrem a ação do zinco a partir de um ácido diluído, sendo reduzidos e produzindo aminas primárias. Exemplo:
redução de nitrocompostos
Dessa forma, é possível obter cadeias aromáticas como o exemplo a seguir:
exemplo de cadeia aromática

    • Redução de nitrilas

Nesse processo, o gás hidrogênio reage com as nitrilas e, por conta da ação de um catalizador, quebra a tripla ligação do carbono com o nitrogênio, produzindo uma amina primária.
redução de nitrilas
Ao utilizar uma isonitrila, a redução leva à formação da amina secundária.
redução de nitrilas

Polímeros

O termo polímero tem origem do grego poli, que significa “muitas” e meros, que significa partes. As macromoléculas desses compostos são originadas por meio da ligação de várias unidades de moléculas pequenas, os monômeros.
O polímero sintético polietileno, por exemplo, tem origem na ligação de diversos monômeros de etileno, como descrito no exemplo abaixo:

ligação de monômetros de etileno

O exemplo acima se refere a um polímero sintético, produzido artificialmente em laboratório. No entanto, esse composto também é encontrado na natureza, como as macromoléculas utilizadas no cotidiano há milênios em materiais como o algodão, a lã, a seda, cascos de animais e o marfim das presas de elefantes.

Os polímeros podem ser divididos em dois grupos: polímeros naturais e polímeros sintéticos. Vamos falar sobre eles a seguir.

Polímeros sintéticos

Os polímeros sintéticos são aqueles que correspondem ao agrupamento dos monômeros, que ao se ligarem entre si formam as macromoléculas de polímeros – essa reação tem o nome de polimerização.

A partir do polímero sintético diversos materiais são produzidos, como sacolas plásticas, canos para água, gomas de marcar, panelas antiaderentes, colas, tintas, entre outros.

Os polímeros sintéticos estão divididos em dois tipos: polímeros de adição e polímeros de condensação.

Polímeros de adição

Nesse caso, as moléculas possuem obrigatoriamente uma ligação dupla entre os carbonos. No momento da polimerização, ocorre a quebra da ligação do π e o surgimento de duas novas ligações simples:

polímeros de adição

Polímeros de condensação

Os polímeros de condensação são formados através de dois monômeros distintos e a subtração de pequenas moléculas. Nesse caso, os monômeros não precisam formar ligações duplas por meio dos carbonos, embora seja extremamente necessária a presença de dois grupos funcionais distintos.

Polímeros naturais

Os polímeros naturais são aqueles que são produzidos na natureza, como a borracha da seringueira, celulose, proteínas, polissacarídeos, entre outros. Servem como matéria-prima de diversos materiais, entre eles o papel e o pneu. Assim como os polímeros sintéticos, são divididos em dois grupos: adição e condensação.

Borracha

A borracha é um tipo de polímero de adição produzido através da árvore Hevea brasiliensis, uma árvore originária da Amazônia, muito conhecida como Seringueira. A extração acontece por meio de uma incisão no caule, de onde é extraído um líquido branco, o látex, que é a matéria-prima da borracha.

O monômero da borracha é representado da seguinte forma:

monômero da borracha

O processo de transformação do látex em borracha recebe o nome de vulcanização.

Polissacarídeos

Os polissacarídeos e as proteínas são polímeros naturais de condensação, obtidos, respectivamente, a partir dos monossacarídeos e aminoácidos.

O polissacarídeo pode ser o amido, a celulose e o glicogênio, retirados por meio da polimerização dos monossacarídeos. O composto mais famoso é a sacarose, ou o açúcar.

Os polissacarídeos são formados por meio da união de muitas moléculas de monossacarídeos.

Já o amido é uma fonte de carboidratos muito presente em nossa alimentação. Está presente em alimentos como raízes, batata, trigo, milho, arroz e cevada.

Proteínas ou polipeptídios

As proteínas são polímeros obtidos por meio da condensação do α-aminoácido. Estão presentes em todas as células vivas e são fundamentais em diversos processos orgânicos, como o desenvolvimento de fibras musculares, pele e cabelo. Algumas proteínas também possuem função de regular o metabolismo e o sistema imunológico.

Química no vestibular

Os fundamentos da química orgânica e os estudos da tabela periódica têm presença praticamente garantida na maior parte dos vestibulares do país, tanto entre as instituições públicas, como USP, Unesp, Unicamp e as federais, quanto nas instituições privadas, como Mackenzie e PUC. Além disso, não se esqueça de que a disciplina também costuma ser cobrada no Exame Nacional do Ensino Médio (Enem), em outros exames de certificação, como o Encceja.

Então, se você chegou até aqui, é hora de colocar a mão na massa! Separamos uma lista de exercícios com algumas questões que estiveram presentes nos principais vestibulares do país para que você possa treinar seus conhecimentos em química orgânica.

E, caso queira se aprofundar nos estudos e direcioná-los para seus objetivos, confira também o simulado do Enem e o simulado do Encceja.

Bons estudos!



Gostou do conteúdo?

Deixe uma curtida:

Simule agora o valor da sua mensalidade com financiamento estudantil